Официальный сайт Государственной Думы Федерального Собрания Российской Федерации
Официальный сайт Государственной Думы Федерального Собрания Российской Федерации
Банк данных "Нормативно-правовые акты Федерального Собрания Российской Федерации"
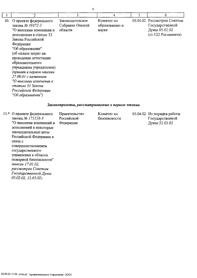
ПОСТАНОВЛЕНИЕ ГД ФС РФ от 22.03.2002 N 2570-III ГД
"О КАЛЕНДАРЕ РАССМОТРЕНИЯ ВОПРОСОВ ГОСУДАРСТВЕННОЙ ДУМОЙ С 3 ПО 26 АПРЕЛЯ 2002 ГОДА"
Показывать страниц:
1
10
100
1
10
100
Для качественной печати:
PDF-файл документа (2 Мб)
в начало
предыдущая
2
3
4
5
6
7
8
9
10
11
12
следующая
в конец
Страница
7
из
66
в начало
предыдущая
2
3
4
5
6
7
8
9
10
11
12
следующая
в конец
©
Государственная Дума Федерального Собрания Российской Федерации
, 2025