Официальный сайт Государственной Думы Федерального Собрания Российской Федерации
Официальный сайт Государственной Думы Федерального Собрания Российской Федерации
Банк данных "Нормативно-правовые акты Федерального Собрания Российской Федерации"
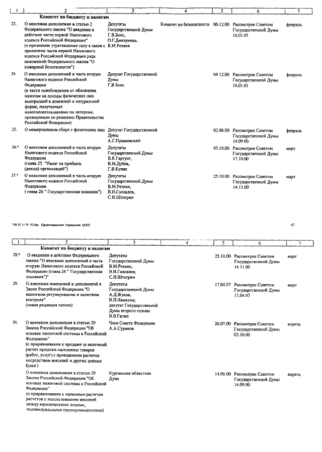
ПОСТАНОВЛЕНИЕ ГД ФС РФ от 17.01.2001 N 1005-III ГД
"О ПРИМЕРНОЙ ПРОГРАММЕ ЗАКОНОПРОЕКТНОЙ РАБОТЫ ГОСУДАРСТВЕННОЙ ДУМЫ ФЕДЕРАЛЬНОГО СОБРАНИЯ РОССИЙСКОЙ ФЕДЕРАЦИИ В ПЕРИОД ВЕСЕННЕЙ СЕССИИ 2001 ГОДА"
Показывать страниц:
1
10
100
1
10
100
Для качественной печати:
PDF-файл документа (5 Мб)
в начало
предыдущая
32
33
34
35
36
37
38
39
40
41
42
следующая
в конец
Страница
37
из
101
в начало
предыдущая
32
33
34
35
36
37
38
39
40
41
42
следующая
в конец
©
Государственная Дума Федерального Собрания Российской Федерации
, 2026