Официальный сайт Государственной Думы Федерального Собрания Российской Федерации
Официальный сайт Государственной Думы Федерального Собрания Российской Федерации
Банк данных "Нормативно-правовые акты Федерального Собрания Российской Федерации"
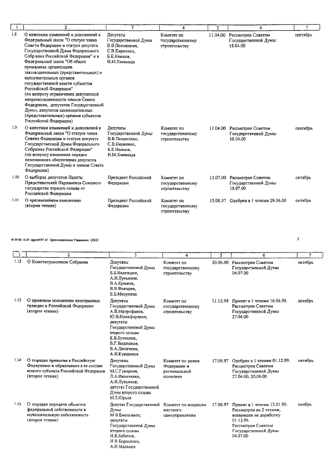
ПОСТАНОВЛЕНИЕ ГД ФС РФ от 08.09.2000 N 598-III ГД
"О ПРИМЕРНОЙ ПРОГРАММЕ ЗАКОНОПРОЕКТНОЙ РАБОТЫ ГОСУДАРСТВЕННОЙ ДУМЫ ФЕДЕРАЛЬНОГО СОБРАНИЯ РОССИЙСКОЙ ФЕДЕРАЦИИ В ПЕРИОД ОСЕННЕЙ СЕССИИ 2000 ГОДА"
Показывать страниц:
1
10
100
1
10
100
Для качественной печати:
PDF-файл документа (5 Мб)
в начало
предыдущая
1
2
3
4
5
6
7
8
9
следующая
в конец
Страница
4
из
105
в начало
предыдущая
1
2
3
4
5
6
7
8
9
следующая
в конец
©
Государственная Дума Федерального Собрания Российской Федерации
, 2026