Официальный сайт Государственной Думы Федерального Собрания Российской Федерации
Официальный сайт Государственной Думы Федерального Собрания Российской Федерации
Банк данных "Нормативно-правовые акты Федерального Собрания Российской Федерации"
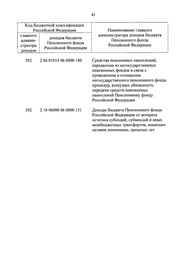
ФЕДЕРАЛЬНЫЙ ЗАКОН от 10.12.2010 N 355-ФЗ
"О БЮДЖЕТЕ ПЕНСИОННОГО ФОНДА РОССИЙСКОЙ ФЕДЕРАЦИИ НА 2011 ГОД И НА ПЛАНОВЫЙ ПЕРИОД 2012 И 2013 ГОДОВ"
(принят ГД ФС РФ 24.11.2010)
Показывать страниц:
1
10
100
1
10
100
Для качественной печати:
PDF-файл документа (3 Мб)
в начало
предыдущая
36
37
38
39
40
41
42
43
44
45
46
следующая
в конец
Страница
41
из
82
в начало
предыдущая
36
37
38
39
40
41
42
43
44
45
46
следующая
в конец
©
Государственная Дума Федерального Собрания Российской Федерации
, 2025