Официальный сайт Государственной Думы Федерального Собрания Российской Федерации
Официальный сайт Государственной Думы Федерального Собрания Российской Федерации
Банк данных "Нормативно-правовые акты Федерального Собрания Российской Федерации"
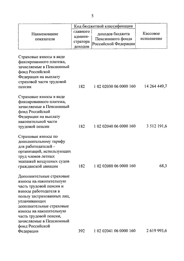
ФЕДЕРАЛЬНЫЙ ЗАКОН от 04.10.2010 N 258-ФЗ
"ОБ ИСПОЛНЕНИИ БЮДЖЕТА ПЕНСИОННОГО ФОНДА РОССИЙСКОЙ ФЕДЕРАЦИИ ЗА 2009 ГОД"
(принят ГД ФС РФ 21.09.2010)
Показывать страниц:
1
10
100
1
10
100
Для качественной печати:
PDF-файл документа (2 Мб)
в начало
предыдущая
1
2
3
4
5
6
7
8
9
10
следующая
в конец
Страница
5
из
47
в начало
предыдущая
1
2
3
4
5
6
7
8
9
10
следующая
в конец
©
Государственная Дума Федерального Собрания Российской Федерации
, 2025